Technical overview

  • Lewelwind system with speed adjustment.
  • Levelwind and side access platform.
  • Designed for road transport.

Options

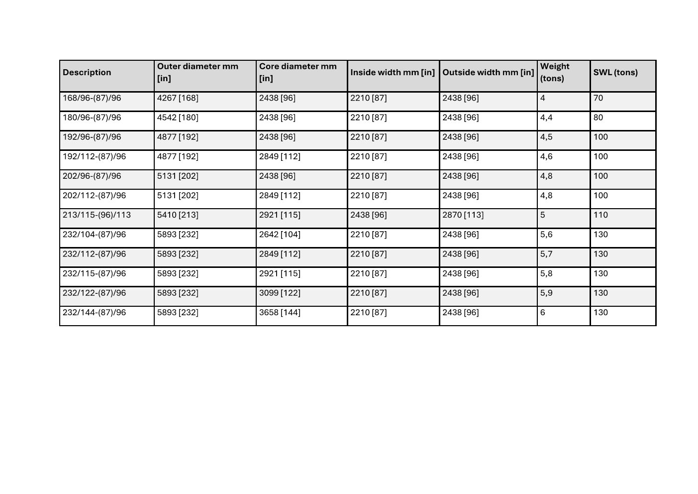
  • Dwellop supplies CT spools in different sizes, ranging from 168 to 236”.  All spools are supplied with a certified lifting gear.
  • The table below is listing the standard dimensions. (Custom builds offered upon request).

All drums can be offered as a Light Weight Drum, where crane capacity is limited. The light weight drum is typically 20% lighter than the standard spool.

  • The spools can be supplied with a transport cradle. This cradle works as a guide when installing spool in Powerstand. Once installed, the cradle works as an adapter frame for positioning the drum in the Powerstand, and the cradle also works as a drip tray during operation.

For additional spool torque requirement, the Reel is offered with a 3rd motor option.

For long string requirements, the Reel can be delivered with a 103″ spool width, allowing up 45000 ft. of 2-3/8 coil.

  • Light Weight Drum

  • Dwellop Reel

Let’s talk about your project.

If you have any requirements or need further information, please don’t hesitate to contact us.

Most of our products can also be rented through Robust Rental

Paul Olav Myklebust

Business and Technology

Torstein Thomassen

VP Business and Technology